Translate

Tìm kiếm Blog này

Covid 24h

Thứ Tư, 1 tháng 9, 2021

Công thức tính đường cao trong tam giác thường, cân, đều, vuông

Đường cao trong tam giác là một đường thẳng có tính chất quan yếu và liên hệ rất nhiều đến các bài toán hình học phẳng. Vậy đường cao là gì, cách tính đường cao trong tam giác như thế nào. Cùng tham khảo bài viết dưới đây để có câu giải đáp và biết công thức tính đường cao trong tam giác đơn giản nhất nhé.

Định nghĩa đường cao trong tam giác

Đường cao trong tam giác là đoạn vuông góc kẻ từ một đỉnh đến cạnh đối diện. Cạnh đối diện này được gọi là đáy ứng với đường cao. Độ dài của đường cao là khoảng cách giữa đỉnh và đáy.

Đường cao trong tam giác

Công thức tính đường cao trong tam giác

Tính đường cao trong tam giác thường

Tính đường cao trong tam giác thường

Cách tính đường cao trong tam giác sử dụng công thức Heron:

Đường cao trong tam giác thường

Với a, b, c là độ dài các cạnh; ha là đường cao được kẻ từ đỉnh A xuống cạnh BC; p là nửa chu vi:

p <a href= Chúng ta phung phí cuộc đời vào những điều tủn mủn… hãy đơn giản hóa, đơn giản hóa. là nửa chu vi" width="163" height="53" src="https://st.quantrimang.com/photos/image/2021/04/27/tinh-duong-cao-cua-tam-giac-2.jpg">

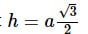
Tính đường cao trong tam giác đều

Tính đường cao trong tam giác đều

giả như tam giác đều ABC có độ dài cạnh bằng a như hình vẽ:

Công thức tính đường cao trong tam giác đều

Trong đó:

  • h là đường cao của tam giác đều
  • a là độ dài cạnh của tam giác đều

Công thức tính đường cao trong tam giác vuông

Tam giác vuông

ví thử có tam giác vuông ABC vuông tại A như hình vẽ trên:

Công thức tính cạnh và đường cao trong tam giác vuông:

1. a2=b2+c2

2. b2=a.b′ và c2=a.c′

3. ah = bc

4. h2=b′.c'

5. Công thức tính đường cao trong tam giác vuông

Trong đó:

  • a, b, c lần lượt là các cạnh của tam giác vuông như hình trên;
  • b’ là đường chiếu của cạnh b trên cạnh huyền;
  • c’ là đường chiếu của cạnh c trên cạnh huyền;
  • h là chiều cao của tam giác vuông được kẻ từ đỉnh góc vuông A xuống cạnh huyền BC.

Công thức tính đường cao trong tam giác cân

Tam giác cân

giả như các bạn có tam giác ABC cân tại A, đường cao AH vuông góc tại H như hình trên:

Công thức tính đường cao AH:

Vì tam giác ABC cân tại A nên đường cao AH đồng thời là đường trung tuyến nên:

⇒ HB=HC= ½BC

vận dụng định lý Pytago trong tam giác vuông ABH vuông tại H ta có:

AH²+BH²=AB²

⇒AH²=AB²−BH²

Các bạn chỉ cần tính các thành phần chưa biết trong các công thức tính đường cao trong tam giác ở trên là có thể tính được đường cao trong tam giác.

Không có nhận xét nào:

Đăng nhận xét

Bài đăng nổi bật

Cách nói chuyện với Siri và các câu ra lệnh, hỏi Siri bằng tiếng Anh 1

Cách nói chuyện với Siri và các câu ra lệnh, hỏi Siri bằng tiếng Anh Đối với những tín đồ của...

Tin Thời Tiết - Tỷ Giá

Tin Xem Nhiều

Trang

Bài đăng phổ biến

Wikipedia

Kết quả tìm kiếm